| PRESSURE CONVERSION TABLE | |||||||||||
| Atmos | Bars | Dynes/cm2 | In of Hg | In of H20 | K grams/ | Lb/in2 psi | Lb/ft2 | mm of Hg | Microns | Pascals | |
| Atmos | 1 | 9.86923 x 10-1 | 9.86923 x 10-7 | 3.34207 x 10-2 | 2.458 x 10-3 | 9.678 x 10-5 | 0.068046 | 4.7254 x 10-4 | 1.316 x 10-3 | 1.316 x 10-6 | 9.869 x 10-6 | 
| Bars | 1.01325 | 1 | 10-6 | 3.3864 x 10-2 | 2.491 x 10-3 | 9.8067 x 10-5 | 6.8948 x 10-2 | 4.788 x 10-4 | 1.333 x 10-3 | 1.333 x 10-6 | 10-5 | 
| Dynes/cm2 | 1.01325 x 106 | 106 | 1 | 3.386 x 10-2 | 2.491 x 103 | 98.067 | 6.8948 x 104 | 4.78.8 | 1.333 x 10-3 | 1.333 | 10 | 
| In of Hg (0¡C) | 29.9213 | 29.53 | 29.553 x 10-5 | 1 | 7.355 x 10-2 | 2.896 x 10-3 | 2.036 | 0.014139 | 3.937 x 10-2 | 3.937 x 10-5 | 2.953 x 10-4 | 
| In of H20 (4¡C) | 406.8 | 4.01.48 | 4.0148 x 10-4 | 13.60 | 1 | 3.937 x 10-2 | 27.68 | 0.1922 | 0.5354 | 5.354 x 10-4 | 4.014 x 10-3 | 
| K grams/meter2 | 1.033227 x 104 | 1.0197 x 104 | 1.0197 x 10-2 | 345.3 | 25.40 | 1 | 7.0306 x 102 | 4.882 | 13.59 | 13.59 x 10-3 | 1.019 x 10-1 | 
| Lb/in2 psi | 14.695995 | 14.504 | 14.504 x 10-5 | 0.4912 | 3.6126 x 10-3 | 1.423 x 10-3 | 1 | 6.944 x 10-3 | 1.934 x 10-2 | 1.934 x 10-5 | 1.450 x 10-4 | 
| Lb/ft2 | 2116.22 | 2088.5 | 2.0885 x 10-3 | 70.726 | 5.202 | 0.2048 | 144.0 | 1 | 2.7844 | 2.7844 x 10-3 | 2.089 x 10-2 | 
| mm of Hg torr | 760 | 750.06 | 7.5006 x 10-4 | 25.400 | 1.868 | 7.3558 x 10-2 | 51.715 | 0.35913 | 1 | 10-3 | 7.502 x 10-3 | 
| Microns | 760 x 103 | 750.06 x 103 | 0.75006 | 2.54 x 104 | 1.868 x 103 | 73.558 | 51.715 x 103 | 359.1 | 1x103 | 1 | 7.502 | 
| Pascals | 1.01325 x 105 | 1x 10-1 | 10-1 | 3.386 x 103 | 2.491 x 102 | 9.8067 | 6.8948 x 103 | 4.788 x 101 | 1.333 x 102 | 1.333 x 10-1 | 1 | 
|  | 
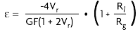
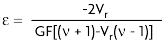
| STRAIN GAGE BRIDGE CIRCUITS AND EQUATIONS | 
|  | 
| QUARTER BRIDGE CONFIGURATIONS | 
|   | 
|  | 
| HALF BRIDGE CONFIGURATIONS | 
|   | 
|    | 
| FULL BRIDGE CONFIGURATIONS | 
|    | 
|      |